NCERT Important Question & Solutions for Class 9 Maths Chapter 2 Polynomials

You can find Chapter 2 Polynomials Class 9 Maths NCERT Important Questions here that will help Chapter 2 easily without wasting your precious time. This will help in developing your problem solving skills and be aware of the concepts. By taking help from these NCERT Important Questions, you can build your own answers for homework and get good marks in the examination. These Important question & solutions are updated according to the latest NCERT Maths textbook. These solutions are prerequisites before solving exemplar problems and going for advance Maths Books.
NCERT Important Questions & Solutions For Exercise 2.1 Polynomials
1.Which of the following expressions are polynomials in one variable and which are not? State reasons for your answer.
(i) 4x2 – 3x + 7 (ii) 3 √t + t√2 (iii) y+ 2y
Solution:
(i) We have 4x2 – 3x + 7 = 4x2 – 3x + 7x0
It is a polynomial in one variable i.e., x
because each exponent of x is a whole number.
(ii) We have 3 √t + t√2 = 3 √t1/2 + √2.t
It is not a polynomial, because one of the exponents of t is 12,
which is not a whole number.
(iii) We have y + y+2y = y + 2.y-1
It is not a polynomial, because one of the exponents of y is -1,
which is not a whole number.
2.Write the coefficients of x2 in each of the following
(i) 2 + x2 + x
(ii) 2 – x2 + x3
Solution:
(i) The given polynomial is 2 + x2 + x.
The coefficient of x2 is 1.
(ii) The given polynomial is 2 – x2 + x3.
The coefficient of x2 is -1.
3.Write the degree of each of the following polynomials.
(i) 5x3+4x2 + 7x
(ii) 4 – y2
(iii) 5t – √7
(iv) 3
Solution:
(i) The given polynomial is 5x3 + 4x2 + 7x.
The highest power of the variable x is 3.
So, the degree of the polynomial is 3.
(ii) The given polynomial is 4- y2. The highest
power of the variable y is 2.
So, the degree of the polynomial is 2.
(iii) The given polynomial is 5t – √7 . The highest power of variable t is 1. So, the degree of the polynomial is 1.
(iv) Since, 3 = 3x° [∵ x°=1]
So, the degree of the polynomial is 0.
4.Classify the following as linear, quadratic, and cubic polynomials. (i) x2+ x (ii) r2 (iii) 7x3
Solution:
(i) The degree of x2 + x is 2. So, it is a quadratic polynomial.
(ii) The degree of r2 is 2. So, it is a quadratic polynomial.
(iii) The degree of 7x3 is 3. So, it is a cubic polynomial.
NCERT Important Questions & Solutions For Exercise 2.2 Polynomials
1.Find the zero of the polynomials in each of the following cases
(i) p(x) = x + 5 (ii) p(x) = x – 5 (iii) p(x) = ax


2.Find the remainder when x3 + 3x2 + 3x + 1 is divided by
(i) x + 1
(ii) x – 12
(iii) x
(iv) x + π
(v) 5 + 2x
Solution:
Let p(x) = x3 + 3x2 + 3x +1
(i) The zero of x + 1 is -1.
∴ p(-1) = (-1)3 + 3(-1)2 + 3(-1) +1
= -1 + 3- 3 + 1 = 0
Thus, the required remainder = 0
(ii) The zero of x−12 is 12
Thus, the required remainder = 278
(iii) The zero of x is 0.
∴ p(0) = (0)3 + 3(0)2 + 3(0) + 1
= 0 + 0 + 0 + 1 = 1
Thus, the required remainder = 1.
(iv) The zero of x + π is -π.
p(-π) = (-π)3 + 3(- π)22 + 3(- π) +1
= -π3 + 3π2 + (-3π) + 1
= – π3 + 3π2 – 3π +1
Thus, the required remainder is -π3 + 3π2 – 3π+1.
(v) The zero of 5 + 2x is −52 .

Thus, the required remainder is −278 .
NCERT Important Questions & Solutions For Exercise 2.3 Polynomials
1. Find the remainder when x3 – ax2 + 6x – a is divided by x – a.
Solution:
We have, p(x) = x3 – ax2 + 6x – a and zero of x – a is a.
∴ p(a) = (a)3 – a(a)2 + 6(a) – a
= a3 – a3 + 6a – a = 5a
Thus, the required remainder is 5a.
2. Check whether 7 + 3x is a factor of 3x3+7x.
Solution:
We have, p(x) = 3x3+7x. and zero of 7 + 3x is −73.

Since,( −4909) ≠ 0
i.e. the remainder is not 0.
∴ 3x3 + 7x is not divisib1e by 7 + 3x.
Thus, 7 + 3x is not a factor of 3x3 + 7x.
NCERT Important Questions & Solutions For Exercise 2.4 Polynomials
- Determine which of the following polynomials has (x +1) a factor. (i) x3+x2+x +1 (ii) x4 + x3 + x2 + x + 1
Solution:
The zero of x + 1 is -1.
(i) Let p (x) = x3 + x2 + x + 1
∴ p (-1) = (-1)3 + (-1)2 + (-1) + 1 .
= -1 + 1 – 1 + 1
⇒ p (- 1) = 0
So, (x+ 1) is a factor of x3 + x2 + x + 1.
(ii) Let p (x) = x4 + x3 + x2 + x + 1
∴ P(-1) = (-1)4 + (-1)3 + (-1)2 + (-1)+1
= 1 – 1 + 1 – 1 + 1
⇒ P (-1) ≠ 1
So, (x + 1) is not a factor of x4 + x3 + x2 + x+ 1.
2.Use the Factor Theorem to determine whether g (x) is a factor of p (x) in each of the following cases
(i) p (x)= 2x3 + x2 – 2x – 1, g (x) = x + 1
(ii) p(x)= x3 + 3x2 + 3x + 1, g (x) = x + 2
Solution:
(i) We have, p (x)= 2x3 + x2 – 2x – 1 and g (x) = x + 1
∴ p(-1) = 2(-1)3 + (-1)2 – 2(-1) – 1
= 2(-1) + 1 + 2 – 1
= -2 + 1 + 2 -1 = 0
⇒ p(-1) = 0, so g(x) is a factor of p(x).
(ii) We have, p(x) x3 + 3x2 + 3x + 1 and g(x) = x + 2
∴ p(-2) = (-2)3 + 3(-2)2+ 3(-2) + 1
= -8 + 12 – 6 + 1
= -14 + 13
= -1
⇒ p(-2) ≠ 0, so g(x) is not a factor of p(x).
3. Find the value of k, if x – 1 is a factor of p (x) in each of the following cases
(i) p (x) = x2 + x + k
(ii) p (x) = 2x2 + kx + √2
Solution:
For (x – 1) to be a factor of p(x), p(1) should be equal to 0.
(i) Here, p(x) = x2 + x + k
Since, p(1) = (1)2 +1 + k
⇒ p(1) = k + 2 = 0
⇒ k = -2.
(ii) Here, p (x) = 2x2 + kx + √2
Since, p(1) = 2(1)2 + k(1) + √2
= 2 + k + √2 =0
k = -2 – √2 = -(2 + √2)
4.Factorise
(i) 12x2 – 7x +1
(ii) 2x2 + 7x + 3
Solution:
(i) We have,
12x2 – 7x + 1 = 12x2 – 4x- 3x + 1
= 4x (3x – 1 ) -1 (3x – 1)
= (3x -1) (4x -1)
Thus, 12x2 -7x + 3 = (2x – 1) (x + 3)
(ii) We have, 2x2 + 7x + 3 = 2x2 + x + 6x + 3
= x(2x + 1) + 3(2x + 1)
= (2x + 1)(x + 3)
Thus, 2×2 + 7x + 3 = (2x + 1)(x + 3)
5. Factories
(i) x3 + 13x2 + 32x + 20
(ii) 2y3 + y2 – 2y – 1
(i) We have, x3 + 13x2 + 32x + 20
= x3 + x2 + 12x2 + 12x + 20x + 20
= x2(x + 1) + 12x(x +1) + 20(x + 1)
= (x + 1)(x2 + 12x + 20)
= (x + 1)(x2 + 2x + 10x + 20)
= (x + 1)[x(x + 2) + 10(x + 2)]
= (x + 1)(x + 2)(x + 10)
Thus, x3 + 13x2 + 32x + 20
= (x + 1)(x + 2)(x + 10)
(ii) We have, 2y3 + y2 – 2y – 1
= 2y3 – 2y2 + 3y2 – 3y + y – 1
= 2y2(y – 1) + 3y(y – 1) + 1(y – 1)
= (y – 1)(2y2 + 3y + 1)
= (y – 1)(2y2 + 2y + y + 1)
= (y – 1)[2y(y + 1) + 1(y + 1)]
= (y – 1)(y + 1)(2y + 1)
Thus, 2y3 + y2 – 2y – 1
= (y – 1)(y + 1)(2y +1)
NCERT Important Questions & Solutions For Exercise 2.4 Polynomials
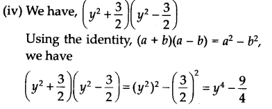
- Use suitable identities to find the following products
(i) (y2+ 3/2) (y2– 3/2)

2.Evaluate the following products without multiplying directly
(i) 103 x 107
Solution:
(i)We have, 103 x 107 = (100 + 3) (100 + 7)
= ( 100)2 + (3 + 7) (100)+ (3 x 7)
[Using (x + a)(x + b) = x2 + (a + b)x + ab]
= 10000 + (10) x 100 + 21
= 10000 + 1000 + 21=11021
3.Expand each of the following, using suitable identity
(i) (- 2x + 5y – 3z)2
(ii) [ 1/4a –1/4b + 1] 2
(i)(- 2x + 5y- 3z)2 = (- 2x)2 + (5y)2 + (- 3z)2 + 2 (- 2x) (5y) + 2 (5y) (- 3z) + 2 (- 3z) (- 2x)
= 4x2 + 25y2 + 9z2 – 20xy – 30yz + 12zx

4. Factorise
(i) 4 x2 + 9y2 + 16z2 + 12xy – 24yz – 16xz
Solution:
(i) 4x2 + 9y2 + 16z2 + 12xy – 24yz – 16xz
= (2x)2 + (3y)2 + (- 4z)2 + 2 (2x) (3y) + 2 (3y) (- 4z) + 2 (- 4z) (2x)
= (2x + 3y – 4z)2 = (2x + 3y + 4z) (2x + 3y – 4z)
5.

Solution:
We have, (x + y)3 = x3 + y3 + 3xy(x + y) …(1)
and (x – y)3 = x3 – y3 – 3xy(x – y) …(2)
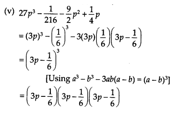
6.Factorise each of the following


7. Verify that
x3 +y3 +z3 – 3xyz = 1/2 (x + y+z)[(x-y)2 + (y – z)2 +(z – x)2]
Solution:
R.H.S
= 1/2(x + y + z)[(x – y)2+(y – z)2+(z – x)2]
= 1/2 (x + y + 2)[(x2 + y2 – 2xy) + (y2 + z2 – 2yz) + (z2 + x2 – 2zx)]
= 1/2 (x + y + 2)(x2 + y2 + y2 + z2 + z2 + x2 – 2xy – 2yz – 2zx)
= 1/2 (x + y + z)[2(x2 + y2 + z2 – xy – yz – zx)]
= 2 x 1/2 x (x + y + z)(x2 + y2 + z2 – xy – yz – zx)
= (x + y + z)(x2 + y2 + z2 – xy – yz – zx)
= x3 + y3 + z3 – 3xyz = L.H.S.
Hence, verified.
8. If x + y + z = 0, show that x3 + y3 + z3 = 3 xyz.
Solution:
Since, x + y + z = 0
⇒ x + y = -z (x + y)3 = (-z)3
⇒ x3 + y3 + 3xy(x + y) = -z3
⇒ x3 + y3 + 3xy(-z) = -z3 [∵ x + y = -z]
⇒ x3 + y3 – 3xyz = -z3
⇒ x3 + y3 + z3 = 3xyz
Hence, if x + y + z = 0, then
x3 + y3 + z3 = 3xyz
9.Without actually calculating the cubes, find the value of each of the following
(i) (- 12)3 + (7)3 + (5)3
Solution:
(i) We have, (-12)3 + (7)3 + (5)3
Let x = -12, y = 7 and z = 5.
Then, x + y + z = -12 + 7 + 5 = 0
We know that if x + y + z = 0, then, x3 + y3 + z3 = 3xyz
∴ (-12)3 + (7)3 + (5)3 = 3[(-12)(7)(5)]
= 3[-420] = -1260
NCERT Quick revision Notes Chapter-2 Polynomials
NCERT Solutions Chapter-2 Polynomials
NCERT MCQ Chapter-2 Polynomials
Discover more from EduGrown School
Subscribe to get the latest posts sent to your email.
