RD SHARMA SOLUTION CHAPTER-4 Inverse Trigonometric Functions| CLASS 12TH MATHEMATICS-EDUGROWN
Chapter 4 Inverse Trigonometric Functions Ex 4.1
Q1. Find the principal value of the following:






Solution:


(iii) Given functions can be written as


(iv) The given question can be written as

(v) Let

(vi) Let

2.
(i)
(ii)
Solution:
(i) The given question can be written as,

(ii) Given question can be written as

Chapter 4 Inverse Trigonometric Functions Ex 4.2
Q1. Find the domain of definition of f(x) = cos -1 (x2 – 4)
Solution:
Given f(x) = cos -1 (x2 – 4)
We know that domain of cos-1 (x2 – 4) lies in the interval −1,1
Therefore, we can write as
-1 ≤ x2 – 4 ≤ 1
4 – 1 ≤ x2 ≤ 1 + 4
3 ≤ x2 ≤ 5
±√ 3 ≤ x ≤ ±√5
– √5 ≤ x ≤ – √3 and √3 ≤ x ≤ √5
Therefore domain of cos-1 (x2 – 4) is −√5,–√3 ∪ √3,√5
Q2. Find the domain of f(x) = cos-1 2x + sin-1 x.
Solution:
Given that f(x) = cos-1 2x + sin-1 x.
Now we have to find the domain of f(x),
We know that domain of cos-1 x lies in the interval −1,1
Also know that domain of sin-1 x lies in the interval −1,1
Therefore, the domain of cos-1 (2x) lies in the interval −1,1
Hence we can write as,
-1 ≤ 2x ≤ 1
– ½ ≤ x ≤ ½
Hence, domain of cos-1(2x) + sin-1 x lies in the interval ½½−½,½
Chapter 4 Inverse Trigonometric Functions Ex 4.3
Q1. Find the principal value of each of the following:
(i) tan-1 (1/√3)
(ii) tan-1 (-1/√3)
(iii) tan-1 (cos (π/2))
(iv) tan-1 (2 cos (2π/3))
Solution:
(i) Given tan-1 (1/√3)
We know that for any x ∈ R, tan-1 represents an angle in (-π/2, π/2) whose tangent is x.
So, tan-1 (1/√3) = an angle in (-π/2, π/2) whose tangent is (1/√3)
But we know that the value is equal to π/6
Therefore tan-1 (1/√3) = π/6
Hence the principal value of tan-1 (1/√3) = π/6
(ii) Given tan-1 (-1/√3)
We know that for any x ∈ R, tan-1 represents an angle in (-π/2, π/2) whose tangent is x.
So, tan-1 (-1/√3) = an angle in (-π/2, π/2) whose tangent is (1/√3)
But we know that the value is equal to -π/6
Therefore tan-1 (-1/√3) = -π/6
Hence the principal value of tan-1 (-1/√3) = – π/6
(iii) Given that tan-1 (cos (π/2))
But we know that cos (π/2) = 0
We know that for any x ∈ R, tan-1 represents an angle in (-π/2, π/2) whose tangent is x.
Therefore tan-1 (0) = 0
Hence the principal value of tan-1 (cos (π/2) is 0.
(iv) Given that tan-1 (2 cos (2π/3))
But we know that cos π/3 = 1/2
So, cos (2π/3) = -1/2
Therefore tan-1 (2 cos (2π/3)) = tan-1 (2 × – ½)
= tan-1(-1)
= – π/4
Hence, the principal value of tan-1 (2 cos (2π/3)) is – π/4
Chapter 4 Inverse Trigonometric Functions Ex 4.4
Q1. Find the principal value of each of the following:
(i) sec-1 (-√2)
(ii) sec-1 (2)
(iii) sec-1 (2 sin (3π/4))
(iv) sec-1 (2 tan (3π/4))
Solution:
(i) Given sec-1 (-√2)
Now let y = sec-1 (-√2)
Sec y = -√2
We know that sec π/4 = √2
Therefore, -sec (π/4) = -√2
= sec (π – π/4)
= sec (3π/4)
Thus the range of principal value of sec-1 is 0,π – {π/2}
And sec (3π/4) = – √2
Hence the principal value of sec-1 (-√2) is 3π/4
(ii) Given sec-1 (2)
Let y = sec-1 (2)
Sec y = 2
= Sec π/3
Therefore the range of principal value of sec-1 is 0,π – {π/2} and sec π/3 = 2
Thus the principal value of sec-1 (2) is π/3
(iii) Given sec-1 (2 sin (3π/4))
But we know that sin (3π/4) = 1/√2
Therefore 2 sin (3π/4) = 2 × 1/√2
2 sin (3π/4) = √2
Therefore by substituting above values in sec-1 (2 sin (3π/4)), we get
Sec-1 (√2)
Let Sec-1 (√2) = y
Sec y = √2
Sec (π/4) = √2
Therefore range of principal value of sec-1 is 0,π – {π/2} and sec (π/4) = √2
Thus the principal value of sec-1 (2 sin (3π/4)) is π/4.
(iv) Given sec-1 (2 tan (3π/4))
But we know that tan (3π/4) = -1
Therefore, 2 tan (3π/4) = 2 × -1
2 tan (3π/4) = -2
By substituting these values in sec-1 (2 tan (3π/4)), we get
Sec-1 (-2)
Now let y = Sec-1 (-2)
Sec y = – 2
– sec (π/3) = -2
= sec (π – π/3)
= sec (2π/3)
Therefore the range of principal value of sec-1 is 0,π – {π/2} and sec (2π/3) = -2
Thus, the principal value of sec-1 (2 tan (3π/4)) is (2π/3).
Chapter 4 Inverse Trigonometric Functions Ex 4.5
Q1. Find the principal values of each of the following:
(i) cosec-1 (-√2)
(ii) cosec-1 (-2)
(iii) cosec-1 (2/√3)
(iv) cosec-1 (2 cos (2π/3))
Solution:
(i) Given cosec-1 (-√2)
Let y = cosec-1 (-√2)
Cosec y = -√2
– Cosec y = √2
– Cosec (π/4) = √2
– Cosec (π/4) = cosec (-π/4) since–cosecθ=cosec(−θ)
The range of principal value of cosec-1 −π/2,π/2 – {0} and cosec (-π/4) = – √2
Cosec (-π/4) = – √2
Therefore the principal value of cosec-1 (-√2) is – π/4
(ii) Given cosec-1 (-2)
Let y = cosec-1 (-2)
Cosec y = -2
– Cosec y = 2
– Cosec (π/6) = 2
– Cosec (π/6) = cosec (-π/6) since–cosecθ=cosec(−θ)
The range of principal value of cosec-1 −π/2,π/2 – {0} and cosec (-π/6) = – 2
Cosec (-π/6) = – 2
Therefore the principal value of cosec-1 (-2) is – π/6
(iii) Given cosec-1 (2/√3)
Let y = cosec-1 (2/√3)
Cosec y = (2/√3)
Cosec (π/3) = (2/√3)
Therefore range of principal value of cosec-1 is −π/2,π/2 – {0} and cosec (π/3) = (2/√3)
Thus, the principal value of cosec-1 (2/√3) is π/3
(iv) Given cosec-1 (2 cos (2π/3))
But we know that cos (2π/3) = – ½
Therefore 2 cos (2π/3) = 2 × – ½
2 cos (2π/3) = -1
By substituting these values in cosec-1 (2 cos (2π/3)) we get,
Cosec-1 (-1)
Let y = cosec-1 (-1)
– Cosec y = 1
– Cosec (π/2) = cosec (-π/2) since–cosecθ=cosec(−θ)
The range of principal value of cosec-1 −π/2,π/2 – {0} and cosec (-π/2) = – 1
Cosec (-π/2) = – 1
Therefore the principal value of cosec-1 (2 cos (2π/3)) is – π/2
Chapter 4 Inverse Trigonometric Functions Ex 4.6
Q1. Find the principal values of each of the following:
(i) cot-1(-√3)
(ii) Cot-1(√3)
(iii) cot-1(-1/√3)
(iv) cot-1(tan 3π/4)
Solution:
(i) Given cot-1(-√3)
Let y = cot-1(-√3)
– Cot (π/6) = √3
= Cot (π – π/6)
= cot (5π/6)
The range of principal value of cot-1 is (0, π) and cot (5 π/6) = – √3
Thus, the principal value of cot-1 (- √3) is 5π/6
(ii) Given Cot-1(√3)
Let y = cot-1(√3)
Cot (π/6) = √3
The range of principal value of cot-1 is (0, π) and
Thus, the principal value of cot-1 (√3) is π/6
(iii) Given cot-1(-1/√3)
Let y = cot-1(-1/√3)
Cot y = (-1/√3)
– Cot (π/3) = 1/√3
= Cot (π – π/3)
= cot (2π/3)
The range of principal value of cot-1(0, π) and cot (2π/3) = – 1/√3
Therefore the principal value of cot-1(-1/√3) is 2π/3
(iv) Given cot-1(tan 3π/4)
But we know that tan 3π/4 = -1
By substituting this value in cot-1(tan 3π/4) we get
Cot-1(-1)
Now, let y = cot-1(-1)
Cot y = (-1)
– Cot (π/4) = 1
= Cot (π – π/4)
= cot (3π/4)
The range of principal value of cot-1(0, π) and cot (3π/4) = – 1
Therefore the principal value of cot-1(tan 3π/4) is 3π/4
Chapter 4 Inverse Trigonometric Functions Ex 4.7
Q1. Evaluate each of the following:
(i) sin-1(sin π/6)
(ii) sin-1(sin 7π/6)
(iii) sin-1(sin 5π/6)
(iv) sin-1(sin 13π/7)
(v) sin-1(sin 17π/8)
(vi) sin-1{(sin – 17π/8)}
(vii) sin-1(sin 3)
(viii) sin-1(sin 4)
(ix) sin-1(sin 12)
(x) sin-1(sin 2)
Solution:
(i) Given sin-1(sin π/6)
We know that the value of sin π/6 is ½
By substituting this value in sin-1(sin π/6)
We get, sin-1 (1/2)
Now let y = sin-1 (1/2)
Sin (π/6) = ½
The range of principal value of sin-1(-π/2, π/2) and sin (π/6) = ½
Therefore sin-1(sin π/6) = π/6
(ii) Given sin-1(sin 7π/6)
But we know that sin 7π/6 = – ½
By substituting this in sin-1(sin 7π/6) we get,
Sin-1 (-1/2)
Now let y = sin-1 (-1/2)
– Sin y = ½
– Sin (π/6) = ½
– Sin (π/6) = sin (- π/6)
The range of principal value of sin-1(-π/2, π/2) and sin (- π/6) = – ½
Therefore sin-1(sin 7π/6) = – π/6
(iii) Given sin-1(sin 5π/6)
We know that the value of sin 5π/6 is ½
By substituting this value in sin-1(sin 5π/6)
We get, sin-1 (1/2)
Now let y = sin-1 (1/2)
Sin (π/6) = ½
The range of principal value of sin-1(-π/2, π/2) and sin (π/6) = ½
Therefore sin-1(sin 5π/6) = π/6
(iv) Given sin-1(sin 13π/7)
Given question can be written as sin (2π – π/7)
Sin (2π – π/7) can be written as sin (-π/7) sincesin(2π–θ)=sin(−θ)
By substituting these values in sin-1(sin 13π/7) we get sin-1(sin – π/7)
As sin-1(sin x) = x with x ∈ −π/2,π/2
Therefore sin-1(sin 13π/7) = – π/7
(v) Given sin-1(sin 17π/8)
Given question can be written as sin (2π + π/8)
Sin (2π + π/8) can be written as sin (π/8)
By substituting these values in sin-1(sin 17π/8) we get sin-1(sin π/8)
As sin-1(sin x) = x with x ∈ −π/2,π/2
Therefore sin-1(sin 17π/8) = π/8
(vi) Given sin-1{(sin – 17π/8)}
But we know that – sin θ = sin (-θ)
Therefore (sin -17π/8) = – sin 17π/8
– Sin 17π/8 = – sin (2π + π/8) sincesin(2π–θ)=−sin(θ)
It can also be written as – sin (π/8)
– Sin (π/8) = sin (-π/8) since–sinθ=sin(−θ)
By substituting these values in sin-1{(sin – 17π/8)} we get,
Sin-1(sin – π/8)
As sin-1(sin x) = x with x ∈ −π/2,π/2
Therefore sin-1(sin -π/8) = – π/8
(vii) Given sin-1(sin 3)
We know that sin-1(sin x) = x with x ∈ −π/2,π/2 which is approximately equal to −1.57,1.57
But here x = 3, which does not lie on the above range,
Therefore we know that sin (π – x) = sin (x)
Hence sin (π – 3) = sin (3) also π – 3 ∈ −π/2,π/2
Sin-1(sin 3) = π – 3
(viii) Given sin-1(sin 4)
We know that sin-1(sin x) = x with x ∈ −π/2,π/2 which is approximately equal to −1.57,1.57
But here x = 4, which does not lie on the above range,
Therefore we know that sin (π – x) = sin (x)
Hence sin (π – 4) = sin (4) also π – 4 ∈ −π/2,π/2
Sin-1(sin 4) = π – 4
(ix) Given sin-1(sin 12)
We know that sin-1(sin x) = x with x ∈ −π/2,π/2 which is approximately equal to −1.57,1.57
But here x = 12, which does not lie on the above range,
Therefore we know that sin (2nπ – x) = sin (-x)
Hence sin (2nπ – 12) = sin (-12)
Here n = 2 also 12 – 4π ∈ −π/2,π/2
Sin-1(sin 12) = 12 – 4π
(x) Given sin-1(sin 2)
We know that sin-1(sin x) = x with x ∈ −π/2,π/2 which is approximately equal to −1.57,1.57
But here x = 2, which does not lie on the above range,
Therefore we know that sin (π – x) = sin (x)
Hence sin (π – 2) = sin (2) also π – 2 ∈ −π/2,π/2
Sin-1(sin 2) = π – 2
Q2. Evaluate each of the following:
(i) cos-1{cos (-π/4)}
(ii) cos-1(cos 5π/4)
(iii) cos-1(cos 4π/3)
(iv) cos-1(cos 13π/6)
(v) cos-1(cos 3)
(vi) cos-1(cos 4)
(vii) cos-1(cos 5)
(viii) cos-1(cos 12)
Solution:
(i) Given cos-1{cos (-π/4)}
We know that cos (-π/4) = cos (π/4) [since cos (-θ) = cos θ
Also know that cos (π/4) = 1/√2
By substituting these values in cos-1{cos (-π/4)} we get,
Cos-1(1/√2)
Now let y = cos-1(1/√2)
Therefore cos y = 1/√2
Hence range of principal value of cos-1 is 0,π and cos (π/4) = 1/√2
Therefore cos-1{cos (-π/4)} = π/4
(ii) Given cos-1(cos 5π/4)
But we know that cos (5π/4) = -1/√2
By substituting these values in cos-1{cos (5π/4)} we get,
Cos-1(-1/√2)
Now let y = cos-1(-1/√2)
Therefore cos y = – 1/√2
– Cos (π/4) = 1/√2
Cos (π – π/4) = – 1/√2
Cos (3 π/4) = – 1/√2
Hence range of principal value of cos-1 is 0,π and cos (3π/4) = -1/√2
Therefore cos-1{cos (5π/4)} = 3π/4
(iii) Given cos-1(cos 4π/3)
But we know that cos (4π/3) = -1/2
By substituting these values in cos-1{cos (4π/3)} we get,
Cos-1(-1/2)
Now let y = cos-1(-1/2)
Therefore cos y = – 1/2
– Cos (π/3) = 1/2
Cos (π – π/3) = – 1/2
Cos (2π/3) = – 1/2
Hence range of principal value of cos-1 is 0,π and cos (2π/3) = -1/2
Therefore cos-1{cos (4π/3)} = 2π/3
(iv) Given cos-1(cos 13π/6)
But we know that cos (13π/6) = √3/2
By substituting these values in cos-1{cos (13π/6)} we get,
Cos-1(√3/2)
Now let y = cos-1(√3/2)
Therefore cos y = √3/2
Cos (π/6) = √3/2
Hence range of principal value of cos-1 is 0,π and cos (π/6) = √3/2
Therefore cos-1{cos (13π/6)} = π/6
(v) Given cos-1(cos 3)
We know that cos-1(cos θ) = θ if 0 ≤ θ ≤ π
Therefore by applying this in given question we get,
Cos-1(cos 3) = 3, 3 ∈ 0,π
(vi) Given cos-1(cos 4)
We have cos–1(cos x) = x if x ϵ 0,π ≈ 0,3.14
And here x = 4 which does not lie in the above range.
We know that cos (2π – x) = cos(x)
Thus, cos (2π – 4) = cos (4) so 2π–4 belongs in 0,π
Hence cos–1(cos 4) = 2π – 4
(vii) Given cos-1(cos 5)
We have cos–1(cos x) = x if x ϵ 0,π ≈ 0,3.14
And here x = 5 which does not lie in the above range.
We know that cos (2π – x) = cos(x)
Thus, cos (2π – 5) = cos (5) so 2π–5 belongs in 0,π
Hence cos–1(cos 5) = 2π – 5
(viii) Given cos-1(cos 12)
Cos–1(cos x) = x if x ϵ 0,π ≈ 0,3.14
And here x = 12 which does not lie in the above range.
We know cos (2nπ – x) = cos (x)
Cos (2nπ – 12) = cos (12)
Here n = 2.
Also 4π – 12 belongs in 0,π
∴ cos–1(cos 12) = 4π – 12
Q3. Evaluate each of the following:
(i) tan-1(tan π/3)
(ii) tan-1(tan 6π/7)
(iii) tan-1(tan 7π/6)
(iv) tan-1(tan 9π/4)
(v) tan-1(tan 1)
(vi) tan-1(tan 2)
(vii) tan-1(tan 4)
(viii) tan-1(tan 12)
Solution:
(i) Given tan-1(tan π/3)
As tan-1(tan x) = x if x ϵ −π/2,π/2
By applying this condition in the given question we get,
Tan-1(tan π/3) = π/3
(ii) Given tan-1(tan 6π/7)
We know that tan 6π/7 can be written as (π – π/7)
Tan (π – π/7) = – tan π/7
We know that tan-1(tan x) = x if x ϵ −π/2,π/2
Tan-1(tan 6π/7) = – π/7
(iii) Given tan-1(tan 7π/6)
We know that tan 7π/6 = 1/√3
By substituting this value in tan-1(tan 7π/6) we get,
Tan-1 (1/√3)
Now let tan-1 (1/√3) = y
Tan y = 1/√3
Tan (π/6) = 1/√3
The range of the principal value of tan-1 is (-π/2, π/2) and tan (π/6) = 1/√3
Therefore tan-1(tan 7π/6) = π/6
(iv) Given tan-1(tan 9π/4)
We know that tan 9π/4 = 1
By substituting this value in tan-1(tan 9π/4) we get,
Tan-1 (1)
Now let tan-1 (1) = y
Tan y = 1
Tan (π/4) = 1
The range of the principal value of tan-1 is (-π/2, π/2) and tan (π/4) = 1
Therefore tan-1(tan 9π/4) = π/4
(v) Given tan-1(tan 1)
But we have tan-1(tan x) = x if x ϵ −π/2,π/2
By substituting this condition in given question
Tan-1(tan 1) = 1
(vi) Given tan-1(tan 2)
As tan-1(tan x) = x if x ϵ −π/2,π/2
But here x = 2 which does not belongs to above range
We also have tan (π – θ) = –tan (θ)
Therefore tan (θ – π) = tan (θ)
Tan (2 – π) = tan (2)
Now 2 – π is in the given range
Hence tan–1 (tan 2) = 2 – π
(vii) Given tan-1(tan 4)
As tan-1(tan x) = x if x ϵ −π/2,π/2
But here x = 4 which does not belongs to above range
We also have tan (π – θ) = –tan (θ)
Therefore tan (θ – π) = tan (θ)
Tan (4 – π) = tan (4)
Now 4 – π is in the given range
Hence tan–1 (tan 2) = 4 – π
(viii) Given tan-1(tan 12)
As tan-1(tan x) = x if x ϵ −π/2,π/2
But here x = 12 which does not belongs to above range
We know that tan (2nπ – θ) = –tan (θ)
Tan (θ – 2nπ) = tan (θ)
Here n = 2
Tan (12 – 4π) = tan (12)
Now 12 – 4π is in the given range
∴ tan–1 (tan 12) = 12 – 4π.
Chapter 4 Inverse Trigonometric Functions Ex 4.8
Q1. Evaluate each of the following:
(i) sin (sin-1 7/25)
(ii) Sin (cos-1 5/13)
(iii) Sin (tan-1 24/7)
(iv) Sin (sec-1 17/8)
(v) Cosec (cos-1 8/17)
(vi) Sec (sin-1 12/13)
(vii) Tan (cos-1 8/17)
(viii) cot (cos-1 3/5)
(ix) Cos (tan-1 24/7)
Solution:
(i) Given sin (sin-1 7/25)
Now let y = sin-1 7/25
Sin y = 7/25 where y ∈ 0,π/2
Substituting these values in sin (sin-1 7/25) we get
Sin (sin-1 7/25) = 7/25
(ii) Given Sin (cos-1 5/13)


(iii) Given Sin (tan-1 24/7)


(iv) Given Sin (sec-1 17/8)


(v) Given Cosec (cos-1 8/17)
Let cos-1(8/17) = y
cos y = 8/17 where y ∈ 0,π/2
Now, we have to find
Cosec (cos-1 8/17) = cosec y
We know that,
sin2 θ + cos2 θ = 1
sin2 θ = √ (1 – cos2 θ)
So,
sin y = √ (1 – cos2 y)
= √ (1 – (8/17)2)
= √ (1 – 64/289)
= √ (289 – 64/289)
= √ (225/289)
= 15/17
Hence,
Cosec y = 1/sin y = 1/ (15/17) = 17/15
Therefore,
Cosec (cos-1 8/17) = 17/15
(vi) Given Sec (sin-1 12/13)



(vii) Given Tan (cos-1 8/17)



(viii) Given cot (cos-1 3/5)



(ix) Given Cos (tan-1 24/7)
.

Chapter 4 Inverse Trigonometric Functions Ex 4.9
Q1. Evaluate:
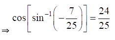
(i) Cos {sin-1 (-7/25)}
(ii) Sec {cot-1 (-5/12)}
(iii) Cot {sec-1 (-13/5)}
Solution:
(i) Given Cos {sin-1 (-7/25)}


(ii) Given Sec {cot-1 (-5/12)}


(iii) Given Cot {sec-1 (-13/5)}


Chapter 4 Inverse Trigonometric Functions Ex 4.10
Q1. Evaluate:
(i) Cot (sin-1 (3/4) + sec-1 (4/3))
(ii) Sin (tan-1 x + tan-1 1/x) for x < 0
(iii) Sin (tan-1 x + tan-1 1/x) for x > 0
(iv) Cot (tan-1 a + cot-1 a)
(v) Cos (sec-1 x + cosec-1 x), |x| ≥ 1
Solution:
(i) Given Cot (sin-1 (3/4) + sec-1 (4/3))

(ii) Given Sin (tan-1 x + tan-1 1/x) for x < 0


(iii) Given Sin (tan-1 x + tan-1 1/x) for x > 0

(iv) Given Cot (tan-1 a + cot-1 a)


(v) Given Cos (sec-1 x + cosec-1 x), |x| ≥ 1

= 0
Q2. If cos-1 x + cos-1 y = π/4, find the value of sin-1 x + sin-1 y.
Solution:
Given cos-1 x + cos-1 y = π/4

Q3. If sin-1 x + sin-1 y = π/3 and cos-1 x – cos-1 y = π/6, find the values of x and y.
Solution:
Given sin-1 x + sin-1 y = π/3 ……. Equation (i)
And cos-1 x – cos-1 y = π/6 ……… Equation (ii)




Q4. If cot (cos-1 3/5 + sin-1 x) = 0, find the value of x.
Solution:
Given cot (cos-1 3/5 + sin-1 x) = 0
On rearranging we get,
(cos-1 3/5 + sin-1 x) = cot-1 (0)
(Cos-1 3/5 + sin-1 x) = π/2
We know that cos-1 x + sin-1 x = π/2
Then sin-1 x = π/2 – cos-1 x
Substituting the above in (cos-1 3/5 + sin-1 x) = π/2 we get,
(Cos-1 3/5 + π/2 – cos-1 x) = π/2
Now on rearranging we get,
(Cos-1 3/5 – cos-1 x) = π/2 – π/2
(Cos-1 3/5 – cos-1 x) = 0
Therefore Cos-1 3/5 = cos-1 x
On comparing the above equation we get,
x = 3/5
Q5. If (sin-1 x)2 + (cos-1 x)2 = 17 π2/36, find x.
Solution:
Given (sin-1 x)2 + (cos-1 x)2 = 17 π2/36
We know that cos-1 x + sin-1 x = π/2
Then cos-1 x = π/2 – sin-1 x
Substituting this in (sin-1 x)2 + (cos-1 x)2 = 17 π2/36 we get
(sin-1 x)2 + (π/2 – sin-1 x)2 = 17 π2/36
Let y = sin-1 x
y2 + ((π/2) – y)2 = 17 π2/36
y2 + π2/4 – y2 – 2y ((π/2) – y) = 17 π2/36
π2/4 – πy + 2 y2 = 17 π2/36
On rearranging and simplifying, we get
2y2 – πy + 2/9 π2 = 0
18y2 – 9 πy + 2 π2 = 0
18y2 – 12 πy + 3 πy + 2 π2 = 0
6y (3y – 2π) + π (3y – 2π) = 0
Now, (3y – 2π) = 0 and (6y + π) = 0
Therefore y = 2π/3 and y = – π/6
Now substituting y = – π/6 in y = sin-1 x we get
sin-1 x = – π/6
x = sin (- π/6)
x = -1/2
Now substituting y = -2π/3 in y = sin-1 x we get
x = sin (2π/3)
x = √3/2
Now substituting x = √3/2 in (sin-1 x)2 + (cos-1 x)2 = 17 π2/36 we get,
= π/3 + π/6
= π/2 which is not equal to 17 π2/36
So we have to neglect this root.
Now substituting x = -1/2 in (sin-1 x)2 + (cos-1 x)2 = 17 π2/36 we get,
= π2/36 + 4 π2/9
= 17 π2/36
Hence x = -1/2.
Chapter 4 Inverse Trigonometric Functions Ex 4.11
Q1. Prove the following results:
(i) Tan-1 (1/7) + tan-1 (1/13) = tan-1 (2/9)
(ii) Sin-1 (12/13) + cos-1 (4/5) + tan-1 (63/16) = π
(iii) tan-1 (1/4) + tan-1 (2/9) = Sin-1 (1/ √5)
Solution:
(i) Given Tan-1 (1/7) + tan-1 (1/13) = tan-1 (2/9)

Hence, proved.
(ii) Given Sin-1 (12/13) + cos-1 (4/5) + tan-1 (63/16) = π
Consider LHS



Hence, proved.
(iii) Given tan-1 (1/4) + tan-1 (2/9) = Sin-1 (1/ √5)


Q2. Find the value of tan-1 (x/y) – tan-1 {(x-y)/(x + y)}
Solution:
Given tan-1 (x/y) – tan-1 {(x-y)/(x + y)}

Chapter 4 Inverse Trigonometric Functions Ex 4.12
Q1. Evaluate: Cos (sin -1 3/5 + sin-1 5/13)
Solution:
Given Cos (sin -1 3/5 + sin-1 5/13)
We know that,


Chapter 4 Inverse Trigonometric Functions Ex 4.13
Q1. If cos-1 (x/2) + cos-1 (y/3) = α, then prove that 9x2 – 12xy cos α + 4y2 = 36 sin2 α
Solution:
Given cos-1 (x/2) + cos-1 (y/3) = α


Hence, proved.
Q2. Solve the equation: cos-1 (a/x) – cos-1 (b/x) = cos-1 (1/b) – cos-1 (1/a)
Solution:
Given cos-1 (a/x) – cos-1 (b/x) = cos-1 (1/b) – cos-1 (1/a)



Chapter 4 Inverse Trigonometric Functions Ex 4.14
Q1. Evaluate the following:
(i) tan {2 tan-1 (1/5) – π/4}
(ii) Tan {1/2 sin-1 (3/4)}
(iii) Sin {1/2 cos-1 (4/5)}
(iv) Sin (2 tan -1 2/3) + cos (tan-1 √3)
Solution:
(i) Given tan {2 tan-1 (1/5) – π/4}


(ii) Given tan {1/2 sin-1 (3/4)}



(iii) Given sin {1/2 cos-1 (4/5)}


(iv) Given Sin (2 tan -1 2/3) + cos (tan-1 √3)


Q2. Prove the following results:
(i) 2 sin-1 (3/5) = tan-1 (24/7)
(ii) tan-1 ¼ + tan-1 (2/9) = ½ cos-1 (3/5) = ½ sin-1 (4/5)
(iii) tan-1 (2/3) = ½ tan-1 (12/5)
(iv) tan-1 (1/7) + 2 tan-1 (1/3) = π/4
(v) sin-1 (4/5) + 2 tan-1 (1/3) = π/2
(vi) 2 sin-1 (3/5) – tan-1 (17/31) = π/4
(vii) 2 tan-1 (1/5) + tan-1 (1/8) = tan-1 (4/7)
(viii) 2 tan-1 (3/4) – tan-1 (17/31) = π/4
(ix) 2 tan-1 (1/2) + tan-1 (1/7) = tan-1 (31/17)
(x) 4 tan-1(1/5) – tan-1(1/239) = π/4
Solution:
(i) Given 2 sin-1 (3/5) = tan-1 (24/7)


Hence, proved.
(ii) Given tan-1 ¼ + tan-1 (2/9) = ½ cos-1 (3/5) = ½ sin-1 (4/5)




Hence, proved.
(iii) Given tan-1 (2/3) = ½ tan-1 (12/5)


Hence, proved.
(iv) Given tan-1 (1/7) + 2 tan-1 (1/3) = π/4


Hence, proved.
(v) Given sin-1 (4/5) + 2 tan-1 (1/3) = π/2




(vi) Given 2 sin-1 (3/5) – tan-1 (17/31) = π/4



(vii) Given 2 tan-1 (1/5) + tan-1 (1/8) = tan-1 (4/7)



Hence, proved.
(viii) Given 2 tan-1 (3/4) – tan-1 (17/31) = π/4



Hence, proved.
(ix) Given 2 tan-1 (1/2) + tan-1 (1/7) = tan-1 (31/17)


Hence, proved.
(x) Given 4 tan-1(1/5) – tan-1(1/239) = π/4


Hence, proved.
Q3. If sin-1 (2a/1 + a2) – cos-1(1 – b2/1 + b2) = tan-1(2x/1 – x2), then prove that x = (a – b)/ (1 + a b)
Solution:
Given sin-1 (2a/1 + a2) – cos-1(1 – b2/1 + b2) = tan-1(2x/1 – x2)


Hence, proved.
Q4. Prove that:
(i) tan-1{(1 – x2)/ 2x)} + cot-1{(1 – x2)/ 2x)} = π/2
(ii) sin {tan-1 (1 – x2)/ 2x) + cos-1 (1 – x2)/ (1 + x2)} = 1
Solution:
(i) Given tan-1{(1 – x2)/ 2x)} + cot-1{(1 – x2)/ 2x)} = π/2


Hence, proved.
(ii) Given sin {tan-1 (1 – x2)/ 2x) + cos-1 (1 – x2)/ (1 + x2)}




Hence, proved.
Q5. If sin-1 (2a/ 1+ a2) + sin-1 (2b/ 1+ b2) = 2 tan-1 x, prove that x = (a + b/ 1 – a b)
Solution:
Given sin-1 (2a/ 1+ a2) + sin-1 (2b/ 1+ b2) = 2 tan-1 x


Hence, proved.
Discover more from EduGrown School
Subscribe to get the latest posts sent to your email.